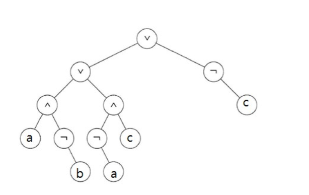
다른게 어려운게 아니라, 트리를 구성후 leaf node에서 순서쌍을 통해 명제식을 검사하는데
순열알고리즘이 들어간다. (자료구조수업인데 ㅠ)



재귀함수를 통해 leafnode까지 내려간후, leafnode에는 true 혹은 false를 담게 된다.
이는 switch 문의 default값을 통해 처리하게되는데, testcase는 알파벳순으로 a,b,c... 입력되는 값에 맞추어
node->data - 'a'를 통해 인덱스값을 확인하게된다. (a는 0번인덱스, b는 1번인덱스 ... 이런식)
이렇게 값을 정해주고 root까지 거슬러 올라가며 이 순서쌍은 참인지 정하게 된다.
그렇다면 모든 순서쌍을 어떻게 구할까.

순열을 통해 모든 순서쌍을 구해준다.
물론 이진수개념인 비트마스크를 통해 구할수 있을것 같기도 하다.


'Data Structure' 카테고리의 다른 글
| 이진탐색드리(Binary Search Tree) (0) | 2020.06.14 |
|---|---|
| 트리 - Max heap (0) | 2020.06.14 |
| 트리의 순회(inorder, preorder, postorder, levelorder traversal) (0) | 2020.06.14 |
| 트리(Tree) (0) | 2020.06.14 |
| 요셉의문제(Circular Linked List) (0) | 2020.06.14 |































